MyBatis基础支持层位于 Mybatis 整体架构的最底层,支撑着 Mybatis 的核心处理层,是整个框架的基石。基础支持层中封装了多个较为通用的、独立的模块,不仅仅为 Mybatis 提供基础支撑,也可以在合适的场景中直接复用。

这篇文章介绍MyBatis的DataSource模块
在数 据持久层 中,数 据源是一个 非常重要的组 件,其性能直接关 系到整个 数 据持久层 的性能。
在实 践 中比较 常见 的第三方数 据源组 件有ApacheCommonDBCP、C3P0、Proxool等,MyBatis不仅 可以集成第三方数 据源组 件,还 提供了自己的数 据源实 现 。
常见 的数 据源组 件都实 现 了 javax.sql.DataSource接口,MyBatis自身实 现 的数 据源实 现 也 不 例 外 。
MyBatis 提 供 了 两 个 javax.sql.DataSource 接 口 实 现 , 分 别 是 PooledDataSource 和 UnpooledDataSource。
Mybatis使 用 不 同 的 DataSourceFactory接 口 实 现 创 建 不 同 类 型 的 DataSource,如图所示,这 是工厂 方法模式的一个 典型应 用。

工厂方法模式
在工厂 方法模式中,定义 了一个 用于创 建对 象的工厂 接口,并 根据工厂 接口的具体 实 现 类 决定具体实例化哪一个具体产品类。首先来看工厂方法模式的UML图,从整体上了解该模式 的结 构 。

工厂方法有四个角色构成:
工厂接口(Factory)
工厂 接口是工厂 方法模式的核心接口,调 用者会 直接与 工厂 接 口交互用于获取具体的产品实现类
具体工厂类(ConcreteFactory)
具体 工厂 类 是工厂 接口的实 现 类 ,用于实 例化产 品 对象,不同的具体工厂类会根据需求实例化不同的产品实现类。
产品接口(Product)
品接口用于定义 产 品类 的功能,具体 工厂 类 产 生的所有产 品对象都必须实现该接口。调用者一般会面向产品接口进行编程,所以产品接口会与调用者直接交互,也是调 用者最为 关 心的接口。
具体 产 品类 (ConcreteProduct)
现 产 品接口的实 现 类 ,具体 产 品类 中定义 了具体的业务逻辑
如果需要产 生新的产 品,例如对 于MyBatis的数 据源模块 来 说 ,就是添加新的第三方数 据 源组 件,只需要添加对 应 的工厂 实 现 类 ,新数 据源就可以被MyBatis使用,而不必修改己有的 代码 。显 然,工厂 方法模式符合“开 放-封闭 ”原则 。除此之外,工厂 方法会 向调 用者隐 藏具体 产 品类 的实 例化细 节 ,调 用者只需要了解工厂 接口和产 品接口,面向这 两 个 接口编 程即 可。
工厂 方法模式也是存在缺点的。在增加新产 品实 现 类 时 ,还 要提供一个 与 之对 应 的工厂 实 现 类 ,所以实 际 新增的类 是成对 出现 的,这 增加了系统 的复 杂 度。另 外,工厂 方法模式引入了 工厂 接口和产 品接口这 一层 抽象,调 用者面向该 抽象层 编 程,增加了程序的抽象性和理解难 度。
DataSourceFactory
在数 据源模块 中,DataSourceFactory接口扮演工厂 接口的角色。
UnpooledDataSourceFactory 和 PooledDataSourceFactory则 扮演着具体 工厂 类 的角色。
我们 从 DataSourceFactory接口开 始分 析,其定义 如下:
public interface DataSourceFactory {
void setProperties(Properties props);
DataSource getDataSource();
}
|
在 UnpooledDataSourceFactory的 构 造 函 数 中 会 直 接 创 建 UnpooledDataSource对 象 ,并 初始 化 UnpooledDataSourceFactory.dataSource 字 段 。UnpooledDataSourceFactory.setProperties()方法会 完成对 UnpooledDataSource对 象的配置,代码 如下:
public void setProperties(Properties properties) { Properties driverProperties = new Properties(); MetaObject metaDataSource = SystemMetaObject.forObject(dataSource); for (Object key : properties.keySet()) { String propertyName = (String) key; if (propertyName.startsWith(DRIVER_PROPERTY_PREFIX)) { String value = properties.getProperty(propertyName); driverProperties.setProperty( propertyName.substring(DRIVER_PROPERTY_PREFIX_LENGTH), value); } else if (metaDataSource.hasSetter(propertyName)) { String value = (String) properties.get(propertyName); Object convertedValue = convertValue(metaDataSource, propertyName, value); metaDataSource.setValue(propertyName, convertedValue); } else { throw new DataSourceException("..."); } } if (driverProperties.size() > 0) { metaDataSource.setValue("driverProperties", driverProperties); } }
|
UnpooledDataSourceFactory.getDataSource()方法实 现 比较 简 单 ,它 直接返回 dataSource字段 记 录 的 UnpooledDataSource 对 象 。
PooledDataSourceFactory 继 承 了 UnpooledDataSourceFactory, 但 并 没 有 覆 盖 setProperties() 方法和getDataSource()方法。两 者唯一的区 别 是PooledDataSourceFactory的构 造函数 会 将 其 dataSource 字 段 初 始 化 为 PooledDataSource 对 象 。
JndiDataSourceFactory是依赖 JNDI服务 从 容器中获 取用户 配置的DataSource,其逻 辑 并 不 复 杂 。
UnpooledDataSource
javax.sql.DataSource接口在数 据源模块 中扮演了产 品接口的角色,MyBatis提供了两 个 DataSource接 口 的 实 现 类 ,分 别 是 UnpooledDataSource和 PooledDataSource,它 们 扮 演 着 具 体 产 品类 的角色。
UnpooledDataSource 实 现 了 javax.sql.DataSource 接 口 中 定 义 的 getConnection()方 法 及 其 重 载方法,用于获 取数 据库 连 接。
每次通过 UnpooledDataSource.getConnection()方法获 取数 据库 连 接 时 都会 创 建一个 新连 接。
UnpooledDataSource中的字段如下,每个 字段都有对 应 的getter/setter 方法:
public class UnpooledDataSource implements DataSource { private ClassLoader driverClassLoader; private Properties driverProperties; private static Map<String, Driver> registeredDrivers = new ConcurrentHashMap<String, Driver>();
private String driver; private String url; private String username; private String password;
private Boolean autoCommit; private Integer defaultTransactionIsolationLevel;
static { Enumeration<Driver> drivers = DriverManager.getDrivers(); while (drivers.hasMoreElements()) { Driver driver = drivers.nextElement(); registeredDrivers.put(driver.getClass().getName(), driver); } } }
|
Pooled DataSource
了解JDBC编 程的读 者知道,数 据库 连 接的创 建过 程是非常耗时 的,数 据库 能够 建立的连 接数 也非常有限,所以在绝 大多数 系统 中,数 据库 连 接是非常珍贵 的资 源,使用数 据库 连 接池就显得尤为必要。
使用数据库连接池会带来很多好处,例如,可以实现数据库连接的重用、提高响 应 速度、防止数 据库 连 接过 多造成数 据库 假死、避免数 据库 连 接泄露等。
数据库连接池在初始化时,一般会创建一定数量的数据库连接并添加到连接池中备用。
当 程序需要使用数 据库 连 接时 ,从 池中请 求连 接;当 程序不再使用该 连 接时 ,会 将 其返回到池中 缓 存,等待下次使用,而不是直接关 闭 。
当 然,数 据库 连 接池会 控制连 接总 数 的上限以及空闲 连 接数 的上限,如果连 接池创 建的总 连 接数 己达 到上限,且都已被占用,则 后续 请 求连 接的线 程会 进 入阻塞队 列等待,直到有线 程释 放出可用的连 接。
如果连 接池中空闲 连 接数 较 多,达 到 其上限,则 后续 返回的空闲 连 接不会 放入池中,而是直接关 闭 ,这 样 可以减 少系统 维 护 多余数 据库连接的开销。
- 如果将总连接数的上限设置得过大,可能因连接数过多而导致数据库僵死,系统整体性能 下降;
- 如果总连接数上限过小,则无法完全发挥数据库的性能,浪费数据库资源。如果将空闲 连接的上限设置得过大,则会浪费系统资源来维护这些空闲连接;
- 如果空闲连接上限过小,当 出现 瞬间 的峰值 请 求时 ,系统 的快速响 应 能力就比较 弱。
所以在设 置数 据库 连 接池的这 两 个 值 时,需要进行性能测试、权衡以及一些经验。
PooledDataSource实 现 了简 易数 据库 连 接池的功能,它 依赖 的组 件如图 所示,其中需 要注意的是,PooledDataSource创 建新数 据库 连 接的功能是依赖 其中封装 的UnpooledDataSource 对象实现的。

PooledConnection
PooledDataSource并 不会 直接管理java.sql.Connection对 象,而是管理 PooledConnection对 象。
在 PooledConnection中封装 了真 正的数 据库 连 接对 象(java.sql.Connection) 以及其代理对 象,这 里的代理对 象是通过 JDK动 态 代理产 生的。PooledConnection继 承了 InvocationHandler 接口。
核心字段:
private final PooledDataSource dataSource;
private final Connection realConnection;
private final Connection proxyConnection;
private long checkoutTimestamp;
private long createdTimestamp;
private long lastUsedTimestamp;
private int connectionTypeCode;
private boolean valid;
|
PooledConnection.invoke()方法的实 现 ,该 方法是proxyConnection这 个 连 接代理对 象的真 正代理 逻 辑 ,它 会 对 close()方法的调 用进 行代理,并 且在调 用真 正数 据库 连 接的方法之前进 行检 测 , 代码 如下:
public Object invoke(Object proxy, Method method, Object[] args) throws Throwable { String methodName = method.getName(); if (CLOSE.hashCode() == methodName.hashCode() && CLOSE.equals(methodName)) { dataSource.pushConnection(this); return null; } else { try { if (!Object.class.equals(method.getDeclaringClass())) { checkConnection(); } return method.invoke(realConnection, args); } catch (Throwable t) { throw ExceptionUtil.unwrapThrowable(t); } } }
|
PoolState
PoolState是 用 于 管 理 PooledConnection对 象 状 态 的 组 件 ,它 通 过 两 个 ArrayList <PooledConnection>集合分别 管理空闲 状 态 的连 接和活跃 状 态 的连 接,定义 如下:
protected final List<PooledConnection> idleConnections = new ArrayList<PooledConnection>();
protected final List<PooledConnection> activeConnections = new ArrayList<PooledConnection>();
protected long requestCount = 0;
protected long accumulatedRequestTime = 0;
protected long accumulatedCheckoutTime = 0;
protected long claimedOverdueConnectionCount = 0;
protected long accumulatedCheckoutTimeOfOverdueConnections = 0;
protected long accumulatedWaitTime = 0;
protected long hadToWaitCount = 0;
protected long badConnectionCount = 0;
|
PooledDataSource
PooledDataSource中 管 理 的 真 正 的 数 据 库 连 接 对 象 是 由 PooledDataSource中封装 的UnpooledDataSource对 象 创 建 的 ,并 由 PoolState管 理 所 有 连 接 的 状 态 。
PooledDataSource中核心字段的含义 和功能如下:
private final PoolState state = new PoolState(this);
private final UnpooledDataSource dataSource;
protected int poolMaximumActiveConnections = 10;
protected int poolMaximumIdleConnections = 5;
protected int poolMaximumCheckoutTime = 20000;
protected int poolTimeToWait = 20000;
protected int poolMaximumLocalBadConnectionTolerance = 3;
protected String poolPingQuery = "NO PING QUERY SET";
protected boolean poolPingEnabled;
protected int poolPingConnectionsNotUsedFor;
private int expectedConnectionTypeCode;
|
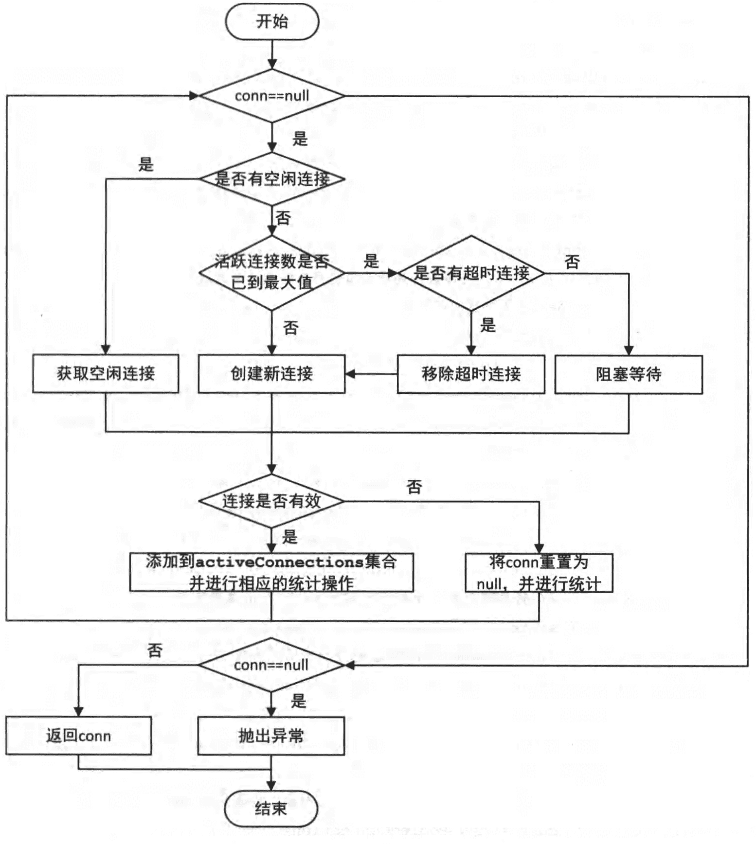
PooledDataSource.getConnection()方 法 首 先 会 调 用 PooledDataSource.popConnection()方 法 获 取 PooledConnection 对 象,然后通过 PooledConnection.getProxyConnection()方法获 取数 据库 连 接的代理对 象。popConnection()方法是PooledDataSource的核心逻 辑 之一,其具体 逻 辑 如图。

PooledDataSource.popConnection()方法的具体实现:
private PooledConnection popConnection(String username, String password) throws SQLException { boolean countedWait = false; PooledConnection conn = null; long t = System.currentTimeMillis(); int localBadConnectionCount = 0;
while (conn == null) { synchronized (state) { if (!state.idleConnections.isEmpty()) { conn = state.idleConnections.remove(0); if (log.isDebugEnabled()) { log.debug("..."); } } else { if (state.activeConnections.size() < poolMaximumActiveConnections) { conn = new PooledConnection(dataSource.getConnection(), this); if (log.isDebugEnabled()) { log.debug("..."); } } else { PooledConnection oldestActiveConnection = state.activeConnections.get(0); long longestCheckoutTime = oldestActiveConnection.getCheckoutTime(); if (longestCheckoutTime > poolMaximumCheckoutTime) { state.claimedOverdueConnectionCount++; state.accumulatedCheckoutTimeOfOverdueConnections += longestCheckoutTime; state.accumulatedCheckoutTime += longestCheckoutTime; state.activeConnections.remove(oldestActiveConnection); if (!oldestActiveConnection.getRealConnection().getAutoCommit()) { try { oldestActiveConnection.getRealConnection().rollback(); } catch (SQLException e) { log.debug("Bad connection. Could not roll back"); } } conn = new PooledConnection(oldestActiveConnection.getRealConnection(), this); conn.setCreatedTimestamp(oldestActiveConnection.getCreatedTimestamp()); conn.setLastUsedTimestamp(oldestActiveConnection.getLastUsedTimestamp()); oldestActiveConnection.invalidate(); if (log.isDebugEnabled()) { log.debug("...."); } } else { try { if (!countedWait) { state.hadToWaitCount++; countedWait = true; } if (log.isDebugEnabled()) { log.debug("..."); } long wt = System.currentTimeMillis(); state.wait(poolTimeToWait); state.accumulatedWaitTime += System.currentTimeMillis() - wt; } catch (InterruptedException e) { break; } } } } if (conn != null) { if (conn.isValid()) { if (!conn.getRealConnection().getAutoCommit()) { conn.getRealConnection().rollback(); } conn.setConnectionTypeCode(assembleConnectionTypeCode(dataSource.getUrl(), username, password)); conn.setCheckoutTimestamp(System.currentTimeMillis()); conn.setLastUsedTimestamp(System.currentTimeMillis()); state.activeConnections.add(conn); state.requestCount++; state.accumulatedRequestTime += System.currentTimeMillis() - t; } else { if (log.isDebugEnabled()) { log.debug("..."); } state.badConnectionCount++; localBadConnectionCount++; conn = null; if (localBadConnectionCount > (poolMaximumIdleConnections + poolMaximumLocalBadConnectionTolerance)) { if (log.isDebugEnabled()) { log.debug("..."); } throw new SQLException("..."); } } } }
}
if (conn == null) { if (log.isDebugEnabled()) { log.debug("..."); } throw new SQLException("..."); }
return conn; }
|
通 过 前 面 对 PooledConnection.invoke()方法的分析我们 知道,当 调 用连 接的代理对 象的 close()方 法 时 ,并未关闭真正的数据连接 ,而是调用PooledDataSource.pushConnection()方法将 PooledConnection对 象归 还 给 连 接池,供之后重用。
PooledDataSource.pushConnection()方法也是 PooledDataSource的核心逻 辑 之一,其逻 辑 如图

PooledDataSource.pushConnection()代码如下:
protected void pushConnection(PooledConnection conn) throws SQLException {
synchronized (state) { state.activeConnections.remove(conn); if (conn.isValid()) { if (state.idleConnections.size() < poolMaximumIdleConnections && conn.getConnectionTypeCode() == expectedConnectionTypeCode) { state.accumulatedCheckoutTime += conn.getCheckoutTime(); if (!conn.getRealConnection().getAutoCommit()) { conn.getRealConnection().rollback(); } PooledConnection newConn = new PooledConnection(conn.getRealConnection(), this); state.idleConnections.add(newConn); newConn.setCreatedTimestamp(conn.getCreatedTimestamp()); newConn.setLastUsedTimestamp(conn.getLastUsedTimestamp()); conn.invalidate(); if (log.isDebugEnabled()) { log.debug("..."); } state.notifyAll(); } else { state.accumulatedCheckoutTime += conn.getCheckoutTime(); if (!conn.getRealConnection().getAutoCommit()) { conn.getRealConnection().rollback(); } conn.getRealConnection().close(); if (log.isDebugEnabled()) { log.debug("..."); } conn.invalidate(); } } else { if (log.isDebugEnabled()) { log.debug("..."); } state.badConnectionCount++; } } }
|
这里需要注意的是,PooledDataSource.pushConnection()方法和popConnection()方法中都调 用了 PooledConnection.isValid()方 法 来 检 测 PooledConnection的 有 效 性 , 该 方 法 除 了 检 测 PooledConnection.valid 字段的值 ,还 会 调 用 PooledDataSource.pingConnection()方法尝 试 让 数 据 库 执 行podPingQuery字段中记 录 的测 试 SQL语 句,从 而检 测 真 正的数 据库 连 接对 象是否依然 可以正常使用。
public boolean isValid() { return valid && realConnection != null && dataSource.pingConnection(this); }
protected boolean pingConnection(PooledConnection conn) { boolean result = true;
try { result = !conn.getRealConnection().isClosed(); } catch (SQLException e) { if (log.isDebugEnabled()) { log.debug("..."); } result = false; }
if (result) { if (poolPingEnabled) { if (poolPingConnectionsNotUsedFor >= 0 && conn.getTimeElapsedSinceLastUse() > poolPingConnectionsNotUsedFor) { try { if (log.isDebugEnabled()) { log.debug("..."); } Connection realConn = conn.getRealConnection(); Statement statement = realConn.createStatement(); ResultSet rs = statement.executeQuery(poolPingQuery); rs.close(); statement.close(); if (!realConn.getAutoCommit()) { realConn.rollback(); } result = true; if (log.isDebugEnabled()) { log.debug("..."); } } catch (Exception e) { log.warn("..."); try { conn.getRealConnection().close(); } catch (Exception e2) { } result = false; if (log.isDebugEnabled()) { log.debug("..."); } } } } } return result; }
|
最后需要注意的是PooledDataSource.forceCloseAll()方法,当 修改PooledDataSource的字段 时 ,例如数 据库 URL、用户名、密码 、autoCommit配置等,都会 调 用forceCloseAll()方法将 所 有数 据库 连 接关 闭 ,同时 也会 将 所有相应 的PooledConnectiori对 象都设 置为 无效,清 空 activeConnections 集 合 和 idleConnections 集 合 。
应用系统之后通过PooledDataSource.getConnection()获取连接时,会按照新的配置重新配置新的数据库连接以及相应的PooledConnection对象。
public void forceCloseAll() { synchronized (state) { expectedConnectionTypeCode = assembleConnectionTypeCode( dataSource.getUrl(), dataSource.getUsername(), dataSource.getPassword()); for (int i = state.activeConnections.size(); i > 0; i--) { try { PooledConnection conn = state.activeConnections.remove(i - 1); conn.invalidate();
Connection realConn = conn.getRealConnection(); if (!realConn.getAutoCommit()) { realConn.rollback(); } realConn.close(); } catch (Exception e) { } } for (int i = state.idleConnections.size(); i > 0; i--) { try { PooledConnection conn = state.idleConnections.remove(i - 1); conn.invalidate();
Connection realConn = conn.getRealConnection(); if (!realConn.getAutoCommit()) { realConn.rollback(); } realConn.close(); } catch (Exception e) { } } } if (log.isDebugEnabled()) { log.debug("PooledDataSource forcefully closed/removed all connections."); } }
|
参考
《MyBatis技术内幕》
部分图片来源——《MyBatis技术内幕》